케이크쌤은 현재 고등학교에서 근무하고 있는데요. 그러다 보니 가끔 학생들이 수능의 비문학 지문을 들고 오곤 합니다. “선생님~ 허프만 부호화에 대해 설명 좀 해주세요ㅠㅠ”라고 학생이 질문을 해서 당황한 적이 있습니다.
이때 저는 ‘비문학에 컴퓨터 관련 지문이 나오면 학생들이 정말 어려워하겠구나!’라는 생각을 하고 그 뒤로 학기말에 수업 아이디어가 떠오르지 않을 때 비문학 지문을 활용하곤 합니다.
(사실 개인적으로 이미 출제된 내용보다는 네트워크나 컴퓨터 구조, OS 관련 내용 중 흥미로운 주제로 수업을 하고 싶지만 학기말이기 때문에 학생들이 그다지 반기진 않습니다^^…)
그래서 이번 주제로 제가 작년 수업에 활용했던 2017학년도 6월 모의고사 기출과 빅카인즈를 활용한 인공지능 기사 찾아보기 활동을 소개하려고 합니다.
“인공지능”을 주제로 수업을 하던 도중 학생들에게 ‘이 내용이 모의고사에 나온 적이 있단다~’ 라며 기출문제지를 제공해 주었습니다.
[내용소개] 퍼셉트론이란?!
[그림1] 인공신경망
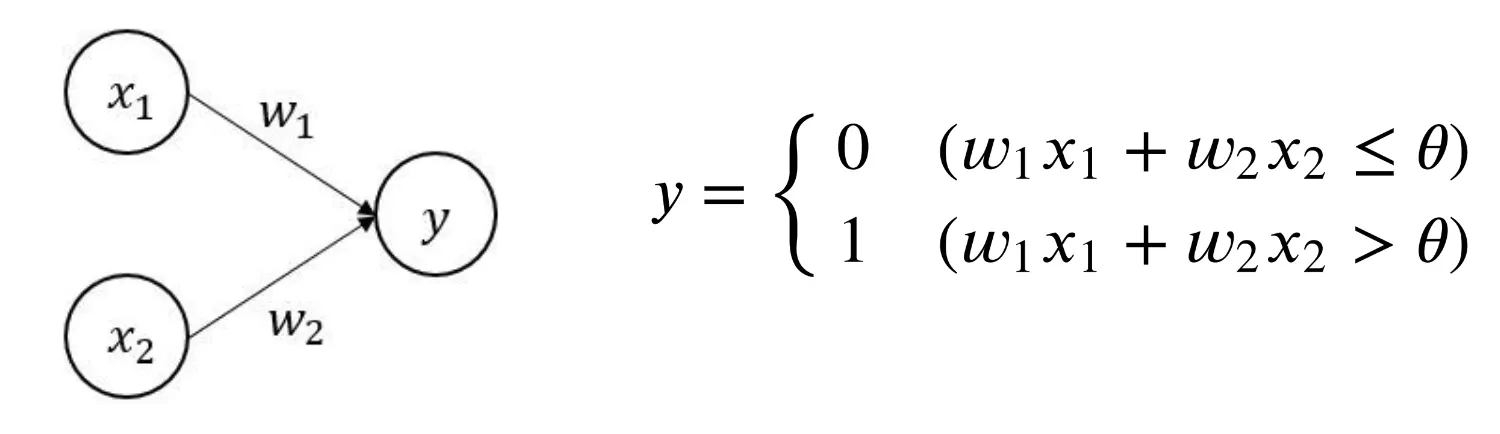
[그림2] 퍼셉트론
퍼셉트론은 인공신경망의 기본 구성 요소입니다. 퍼셉트론은 인간의 뇌에 있는 뉴런을 단순화한 것이며, 퍼셉트론은 여러 개의 입력을 받아 하나의 출력을 만들어냅니다.
퍼셉트론은 입력값을 받아서 각각의 입력 값에 가중치를 곱해 합한 뒤 그 값이 정해진 한계(임계값, θ)를 넘어설 때만 1을 출력합니다. 이때 1은 ‘신호가 흐른다’라는 뜻이며, 임계값을 넘지 않는 경우에는 0(신호가 흐르지 않는다)을 출력합니다.
예를 들어, 입력값이 두 개인 경우(x1, x2)에는 아래와 같이 정의할 수 있습니다.
단 하나의 퍼셉트론은 단순한 이진 판단만 할 수 있습니다. 하지만 인공신경망은 다수의 퍼셉트론을 계층적으로 결합하여 복잡한 결정을 내릴 수 있습니다. 여러 개의 퍼셉트론이 상호 연결되는 인공 신경망을 형성하며 학습, 판단, 패턴 인식 등이 가능해지는 것이죠.
기계학습은 가중치와 임계값을 컴퓨터가 자동으로 조정하는 작업입니다. 이때, “학습"이란 적절한 가중치와 임계값을 찾아내는 과정을 의미하며 이 작업은 컴퓨터가 수행하고, 사람은 퍼셉트론의 구조(모델)를 설계하고 컴퓨터에게 학습에 사용할 데이터를 제공합니다.
기계학습에서는 사람이 직접 가중치와 임계값을 정하지 않습니다. 대신, 초기에는 가중치와 임계값을 임의로 설정한 후, 컴퓨터가 학습 데이터를 통해 예측을 수행하고 오차를 계산합니다. 이 오차를 최소화하기 위해 컴퓨터는 가중치와 임계값을 조금씩 조정해가며 반복적인 학습을 진행합니다. 이 과정에서 컴퓨터는 최적의 가중치와 임계값을 스스로 학습하게 됩니다.
따라서, 사람의 역할은 퍼셉트론의 구조를 고민하고, 컴퓨터에게 적절한 학습 데이터를 제공하여 컴퓨터가 자동으로 가중치와 임계값을 조정하도록 도와주는 것입니다.
자 그럼 위 내용을 바탕으로 ‘인공신경망 학습’에 대한 비문학 지문을 읽어볼까요?
2017년도 6월 기출문제 다운 받기
비문학 기술 지문 다른 주제 살펴보기
•
링크 걸까 말까?!
2024학년도 수능특강 다운 받기
수능 연계 교재인 올해 EBS 수능특강(독서) 교재 내용을 보면 여기에도 정보 관련 비문학 주제가 있습니다. 네트워크 OSI 7계층, 유전 알고리즘과 진화 음악, 증강현실과 현존감을 주제로 한 지문이 있으니 수업에 활용해 보시기 바랍니다.
EBS 회원가입 후 교사 인증을 하면 수능특강 PDF 교재를 다운받을 수 있습니다.
[수업활동] 빅카인즈를 활용한 인공지능 관련 기사 찾아보기
수능 비문학 지문에는 다양한 글이 실리게 되기 때문에 많은 것들을 읽어보고 관심을 가지는게 도움이 됩니다.
인공지능에 대한 기사들을 빅카인즈를 활용해서 쉽고 재밌게 찾아볼 수 있습니다.
빅카인즈에 접속해서 로그인을 합니다.
회원 가입 또는 기존의 카카오, 네이버, 구글 아이디로도 회원가입이 가능합니다.
본인 인증과 소속 등을 입력하면 회원가입이 완료됩니다.
검색어에 ‘인공지능 OR AI OR Ai OR ai’를 입력해서 검색합니다.
(빅카인즈에서는 다양한 검색 옵션이 가능합니다. 검색 도움말을 참고하세요~)
인공지능, AI, Ai, ai 키워드가 들어간 검색 결과를 확인할 수 있습니다.
뉴스 검색을 클릭해서 기간, 언론사, 통합분류 등을 변경할 수 있습니다.
너무 오래된 기사와 정치 관련된 기사가 많아 키워드를 파악하는데 방해 될 수 있어서
3개월간의 기사와 IT_과학에 관련된 기사만 확인을 하도록 했습니다.
분석 결과 및 시각화를 통해 관계도 분석, 키워드 트렌드, 연관어 분석을 확인할 수 있습니다.
관계도 분석을 통해서 인공지능과 관련된 인물, 장소, 기관, 키워드를 확인할 수 있습니다.
관련 뉴스를 클릭하여 키워드와 관련된 기사를 읽을 수 있습니다.
연관어 분석을 통해서는 워드 클라우드로 관련된 키워드를 확인할 수 있고 키워드를 클릭해서 관련된 기사를 함께 볼 수 있습니다.
기사를 읽으며 최신의 정보를 얻을 수 있으며 모르는 단어에 대해서는 재검색을 통해 학생들이 인공지능에 대해서 관심을 갖고 다양한 글을 접할 수 있을 것입니다.
학생들과 함께 진행할 활동지를 같이 올려봅니다~






















